找回密码
 立即注册
搜索
搜索附件  
无限永恒@智慧超能 附件中心 知识学习 基础知识 v2-00c8f08f3ef9a97d77ffd8c2c4e6f0ca_1440w.jpg

v2-00c8f08f3ef9a97d77ffd8c2c4e6f0ca_1440w.jpg

附件信息右侧广告
附件下载与主题内容间广告

 

纳米芯片和微型芯片:
尺寸和制造精度
纳米芯片指的是其功能部件在纳米级别尺寸的芯片,通常是指芯片上晶体管的门宽度小于100纳米。而微型芯片通常指的是那些晶体管门宽度在微米级别的芯片
电路设计和能效
由于尺寸更小,纳米芯片在电路设计上可以实现更高的晶体管密度,这通常意味着更高的运算速度和更低的功耗。
相比之下,微型芯片的能效和速度可能不如纳米芯片。
纳米芯片通常拥有比微型芯片更小的晶体管尺寸,这使得它们能在同等空间内集成更多的晶体管,从而提供更高的处理速度和计算能力。此外,纳米芯片通常能实现更高的能效比,因为较小的晶体管在相同的电力输入下可以更快速地开关,消耗更少的能量。
制造纳米芯片的成本和难度是否高于微型芯片?
是的,纳米芯片的制造成本和技术难度都普遍高于微型芯片。这是因为纳米级别的精密制造需要更先进的设备和技术,以及更严格的制造环境,例如更高级别的洁净室条件。此外,随着晶体管尺寸的缩小,芯片制造过程中的精确度要求也随之增加,这进一步增加了制造难度和成本。


芯片应该叫集成电路,里面当然可以是晶体管组成的逻辑电路,是数字逻辑电路
可靠性的优先级是最高的,耐高低温高压高湿度等等,制程越高集成度越多,受限制的条件就越多,高制程芯片的应用和微米级芯片的应用追求的目标很多不同。
3nm主要是计算处理器,或者cpu,gpu,mcu等级别的。这些是极高端应用。而大功率类,模拟类,传感器类,等等,微米级别的非常多。生活中常见的电器,微波炉,洗衣机等等,都可以使用。对于一些高压的制程,因为器件要制程高电压,所以天生从物理上就是做不小的,这一部分更重要的是器件结构的设计,以支持高压。


制程工艺,指的是芯片上晶体管的尺寸和结构,通常用纳米级别的数字来表示,如10nm、7nm、5nm等。这一数字越小,意味着晶体管越小,集成度越高,芯片性能越强,功耗越低。自1960年代以来,随着技术的不断进步,芯片制程工艺经历了从微米到纳米的跨越式发展。
制程工艺升级对芯片性能的影响
制程工艺的升级对芯片性能的提升是显而易见的。当芯片制程从微米级进入纳米级时,晶体管之间的间距显著缩小,单位面积内可以集成更多的晶体管,从而提高了芯片的运算速度和数据处理能力。以芯片制程从7nm变为5nm为例,一排晶体管的密度就会变为原来的1.4倍,纵横排列的晶体管阵列密度则变为1.4倍的平方,这种量变带来了芯片性能的质变。
此外,更先进的制程工艺还带来了更低的导电传输损耗,进一步提升了芯片的性能。这是因为随着晶体管尺寸的减小,导电路径变得更短,电阻和电容效应减弱,信号传输速度加快,能量损失减少。

制程工艺升级对功耗的影响
制程工艺的升级不仅提升了芯片性能,还显著降低了功耗。在相同性能下,制程越先进的芯片其功耗越低。这是因为更小的晶体管尺寸意味着更低的阈值电压和更少的漏电流,从而减少了静态功耗。同时,由于导电传输损耗的降低,动态功耗也得到了有效控制。
以三星电子的3nm芯片为例,相比之前的5nm芯片,其功耗降低了45%。这不仅使得手机等移动设备在保持高性能的同时拥有更长的续航时间,也为数据中心和云计算等领域提供了更加节能的解决方案。
制程工艺升级对成本的影响
然而,制程工艺的升级并非没有代价。随着制程的推进,芯片的制造成本也水涨船高。这主要源于以下几个方面:
设备成本:制程工艺越先进,对制造设备的要求也越高。以光刻机为例,EUV光刻机是制造7nm及以下制程芯片的关键设备之一,其价格高达数亿美元,且维护成本高昂。
研发成本:制程工艺的升级需要大量的研发投入。随着工艺节点的不断缩小,技术难度急剧增加,研发周期延长,投入的人力、物力和财力也随之增加。
材料成本:制程工艺的升级对材料的要求也更高。为了满足更小的线宽和更高的集成度需求,需要使用更高级别的材料和更复杂的制造工艺。
这些成本的增加最终都会反映在芯片的价格上。然而,值得注意的是,随着产量的提升和技术的成熟,单位芯片的成本有望逐渐降低。

半导体(semiconductor)指室温下导电性能介于导体与绝缘体之间的材料。
半导体材料与元件:指导电性介于导体与绝缘体之间的材料(如硅、锗、碳化硅等),可通过控制掺杂等工艺实现对电流的开关作用,如二极管、三极管等基础半导体器件。
集成电路(芯片):通过半导体工艺将大量晶体管集成在晶圆上,形成具有特定功能的芯片(如CPU、传感器、存储器等),其制程尺寸(芯片上晶体管的最小线宽)直接决定集成度与性能。
产业链与应用:涵盖从上游半导体设备、材料(光刻胶、特种气体),到中游制造(晶圆代工)、设计(EDA工具),再到下游应用(消费电子、汽车电子、军工航天等)的完整产业链,不同制程芯片(如3nm高制程、微米级低制程)因性能、成本、可靠性要求差异,在不同领域(如高端手机与军工设备)各有应用。

          半导体是指能够根据条件的变化改变导电性能的物质。利用这种特性制造的电子电路元件就是“半导体器件”,通常也被称为“半导体”。            
          容易导电的物质被称为 “导体”,比如金属等。相反,不易导电的物质如橡胶等则被称为“非导体(绝缘体)”。“半导体”的性质介于这两者之间,具有在特定条件下导电,其他条件下则不导电的类似开关的功能。通过利用这一性质,计算机等能够执行复杂的数据处理。        

            什么是半导体?                           
    半导体是一种既可以作为电流的导体,也可以作为电流的绝缘体的物质,使其成为计算机、电子设备、集成电路和其他现代数字技术的关键构建块。
    导电的物质称为导体,而不导电的物质称为绝缘体。半导体具有独特的性质,适用于两种状态,这意味着在某些条件下它们可以导电,而在其他条件下则能够阻碍电流。这种独特的分类使得半导体非常适合用于依赖在小面积内传导大量电力的技术,如计算机芯片、人工智能 (AI) 芯片 和物联网 (IoT) 设备。
在大多数现代技术中,半导体像微小的电气开关一样反复开关,控制电流的流动。半导体的导电性(即电流通过它的难易程度)取决于电流和电压的变化。

            半导体是如何工作的?                           
    大多数半导体是由晶体构成的,因为它们具有独特的原子性质。而大多数常见的导电元素在最外层只有一个电子,半导体则有四个电子。这一点以及其他因素使得半导体晶体(通常是硅)非常适合控制支撑复杂现代技术设备的电流。
为了控制电子电路和设备中的电流流动,工程师通过在半导体中创建带有正负电荷的区域来操控电子流动,这一过程称为掺杂。

    什么是掺杂?   
    在半导体生产中,掺杂是一个过程,其中杂质(也称为杂质原子)故意被引入半导体的晶体格中,以改变其电气特性。通过引入掺杂原子,工程师可以使材料的导电性增强或减弱。掺杂有两种类型:N 型掺杂和 P 型掺杂。
  • N 型掺杂:N 型掺杂是指工程师添加比母材更多价电子的元素。这一变化增加了原子中的自由电荷载流子数量,从而使半导体材料的导电性相较于之前有所增强。
  • P 型掺杂:P 型掺杂同样使材料更具导电性,但采用的是稍微不同的方法。在 P 型掺杂中,添加的元素比母材少一个价电子,从而创建了计算机科学中称为“孔”的区域:一个缺少电子的地方,电子通常携带电荷并增加导电性。

    半导体类型   
    半导体通常分为两种主要类型:内禀半导体和外延半导体。下面我们来看看它们的区别。
  • 内禀半导体:内禀半导体是由单一、纯净的材料构成的半导体,这些材料没有经过任何加工或掺杂。内禀半导体通常被称为“元素半导体”,因为它们中的许多是周期表上著名的元素,如碳、硼、硅和锗。
  • 外延半导体:外延半导体是经过掺杂处理的半导体,通过故意引入杂质来改变材料的导电性。例如,射频 (RF) 半导体被视为外延半导体,因为它们结合了如砷化镓 (GaAs)、氮化镓 (GaN) 和硅 (Si) 等材料,使半导体能够在更高的射频下工作。

    晶体管和半导体器件   
    半导体器件是利用导体和绝缘体来控制电流流动的电子元件。最常见的半导体器件是广泛使用的晶体管,这是一种小型、耐用的电子元件,驱动着大多数现代电子设备。

在 1947 年晶体管发明之前,真空管广泛用于相同的用途。事实证明,晶体管比真空管更紧凑、更高效,并迅速取代了它们。如今,晶体管被广泛应用于各种设备中,包括计算机芯片、微处理器、汽车、机器人设备等等。晶体管具有很高的灵活性;除了作为导体和绝缘体外,它们还可以作为开关、放大器和整流器。
  • 开关:半导体器件中的组件,用于开关控制电流的流动。
  • 放大器:在电子设备中,用于增加输入信号幅度的电路。
  • 整流器:整流器或整流二极管是小型半导体器件,通过允许电流单方向流动,将交流电 (AC) 转换为直流电 (DC)。

            半导体是如何制造的?
    半导体是在代工厂制造的,代工厂是高度专业化的公司,专门从事半导体制造,而将设计和分销交给其他公司处理。由于多种因素,世界上大多数代工厂都位于台湾。

    台积电(台湾半导体制造公司,TSMC)   
    今天,全球 60% 的半导体芯片和超过 90% 的先进芯片都在相对较小的台湾岛上制造。2台湾的高技能劳动力、半导体代工模式的发明以及其他因素使其几乎完全主导了半导体市场。
世界上最著名的代工厂之一可能是台湾半导体制造公司 (TSMC),成立于 1987 年,专门为像苹果和 NVIDIA 这样的客户生产全球最先进的芯片。
如今,台积电在半导体市场的主导地位使其成为全球半导体供应链的重要组成部分。因此,台湾已成为中国和美国等大国外交政策战略中的一个地缘政治焦点。

    什么是晶圆制造?   
    半导体通过一个严格的过程制造,这个过程被称为晶圆制造或晶圆加工,其开始于将半导体材料切割成薄片。硅晶圆是最常见的晶圆,但也可以用砷化镓、碳化硅、锗等材料制造。
在晶圆制造完成后,它会通过一系列不同的高度专业化的机器进行抛光和研磨,并通过四个复杂的步骤将集成电路 (IC) 安装到其表面。
  • 步骤 1. 氧化:在集成电路 (IC) 安装之前,晶圆必须先使用高度纯净的去离子水进行预清洁。某些类型的晶圆,尤其是硅晶圆,在此步骤中会被加热并暴露于纯氧中,这种方法称为热氧化。
  • 步骤 2. 掩膜:在半导体制造的掩膜环节中,使用光掩膜(高度精确的模板)在晶圆上创建图案,这一过程称为光刻。每个掩膜在定义半导体的电路结构以及其作为集成电路有效运行的方式中都起着至关重要的作用。
  • 步骤 3. 蚀刻:在制造过程中,蚀刻环节中会去除晶圆上不需要的材料,以形成有意图的图案或形状。像掩膜一样,蚀刻对于集成电路和其他具有特定用途的器件的建立至关重要,这些器件必须附着在晶圆表面。
  • 步骤 4. 掺杂:最后,通过向晶体结构中添加杂质来改变其电气特性,从而制造外延半导体材料。在此步骤中使用的化合物包括砷化镓、锑化铟以及许多种类的氧化物。

    半导体优势
    在过去的 75 年里,半导体已经成为许多现代技术的基础。从计算机的早期阶段到互联网、社交媒体、移动技术和人工智能的普及,半导体在使电子设备正常运作方面发挥了关键作用。以下是一些半导体最重要的优势。
    尺寸和重量
    今天的内禀和外延半导体以及它们驱动的先进芯片,与它们的前身真空管相比,体积极小且重量轻。由于制造技术的进步,今天的半导体微芯片驱动着人工智能 (AI)、机器学习 (ML) 和生成式人工智能(生成式 AI)技术,能够实现微型化,使得它们驱动的设备既紧凑又高效。
    半导体的设计旨在消耗比其前身更少的电力,这一特点对于提升现代技术的能效至关重要,例如电动汽车和数据中心。制造半导体所用材料可以减少在开关和转换过程中产生的功率损耗,从而显著提高设备的效率。半导体芯片在许多可再生能源系统中发挥着重要作用,例如太阳能电池板和风力涡轮机,同时还延长了便携电子设备如笔记本电脑和手机的电池寿命。
     由于在制造过程中采用了严格的标准,半导体具有高度可靠性和较长的使用寿命。半导体器件,例如飞机和高性能计算 (HPC) 中使用的先进芯片,都要经过严格的测试。与其他类似设备相比,它们可以承受严重的磨损,并且使用寿命长。                                                                                                                                     处理速度更快
     现代半导体芯片具有世界上最快的处理速度之一,每秒执行数十亿条指令。例如,智能手机上的常用实时应用程序依赖于现代半导体的快速处理速度才能正常运行。随着生成式 AI 等新技术不断推高计算环境的要求,半导体将在新系统和应用程序的研究和开发中发挥重要作用。
     半导体具有高度可定制性,这意味着有特定用例的工程师可以根据自身需求,以最佳方式对其进行设计。例如,特定应用集成电路 (ASIC) 是为特定计算任务设计的专用半导体芯片,而不是通用计算。ASIC 可以进行优化以适应不同的用途,例如先进的网络、加密货币挖矿、消费电子产品等。

            半导体用例
    半导体是现代电子设备的核心基础,其应用场景已覆盖众多行业领域。以下是一些最常见的例子。
    消费电子产品
    半导体和半导体器件,如集成电路 (IC)、传感器和半导体芯片,广泛应用于许多不同的消费电子设备中。从智能手机和笔记本电脑到智能家电、虚拟助手、电视等,半导体支撑着大多数消费者在个人生活和职业生活中已依赖的科技设备。
    汽车   
    现代汽车配备了许多人们已从智能手机和电脑习以为常的功能,例如语音识别、无线连接以及多种媒体流传输能力。半导体芯片是支撑汽车实现这些功能的技术基础,使乘客能够访问互联网、收听语音邮件和短信的朗读、接收导航路线等多种服务。
    医疗设备   
    半导体和半导体芯片在医疗领域变得至关重要,是各种医疗设备和应用正常运行的基础。半导体为医疗成像、诊断、患者监测等设备提供动力,使得帮助改善患者治疗和结果的关键数据能够近乎实时地传输。
    智能制造   
    智能制造,也称为工业 4.0,是将物联网 (IoT)、AI 和云计算等新兴数字技术整合到制造过程中。在智能制造中,半导体和半导体芯片为先进的传感器、嵌入式软件和机器人提供动力,这些传感器、软件和机器人可以在工厂环境中收集和分析数据,从而帮助简化过时、低效的流程。
理解半导体,我们需要引入一些物理概念,如能带、禁带和载流子。在固态物质中,电子的能量状态形成了一系列的能级,相近的能级会形成能带。在半导体中,电子能级形成了两个主要的能带:价带和导带。价带中的电子属于原子固有的电子,它们通常被束缚在原子附近;而导带中的电子具有更高的能量,它们可以自由移动,从而导电。

两个能带之间的区域被称为禁带,这是一个没有电子的能级区域。在半导体中,禁带的宽度适中,使得一部分电子可以通过吸收热能或光能从价带跳跃到导带,形成自由电子和空穴。这两种粒子统称为载流子,它们在电场的作用下可以移动,从而形成电流。

半导体的性质和性能在很大程度上取决于其晶体结构。晶体结构是指原子在固态物质中的排列方式,
硅和锗都属于元素周期表的IVA族,它们的外壳电子都是4个,因此它们在晶体中的排列方式非常相似。在硅和锗的晶体结构中,每个原子都与周围的4个原子形成共享电子的共价键,从而形成了一种称为钻石结构的晶体结构。



这种钻石结构赋予了半导体一些重要的性质。首先,共价键的形成使得晶体具有高的机械强度和化学稳定性。其次,由于价带中的电子都被束缚在共价键中,所以室温下半导体的电导率较低。然而,由于禁带宽度适中,一部分电子可以通过吸收热能或光能跳跃到导带,形成自由电子和空穴,从而使得半导体具有可调控的电导率。
此外,半导体的晶体结构还为掺杂提供了可能。掺杂是指在半导体中引入少量的三价元素或五价元素,以改变其电学性质。在硅或锗的钻石结构中,每个原子都有4个共价键,因此掺入三价元素或五价元素可以形成多余的空穴或自由电子,从而改变半导体的导电性。

半导体的选择广泛,从单一元素如硅和锗,到复合材料如氮化镓或砷化镓,每种半导体都有其独特的性质和特定的应用。
硅是最常用的半导体材料,它在地壳中丰富存在,易于提炼和处理。硅的禁带宽度适中,使得它在室温下具有良好的半导体性质。此外,硅能形成稳定的氧化物,这对于制造金属-氧化物-半导体(MOS)结构的集成电路至关重要。
然而,硅并非万能的。对于一些特殊应用,如光电器件或高频电子设备,人们通常会选择其他类型的半导体。例如,砷化镓具有更高的电子迁移率,使得它在高速电子设备中具有优势。另一方面,氮化镓则因其宽禁带和强大的光发射性能,而在蓝光二极管和功率电子设备中被广泛应用。

掺杂是改变半导体性质的重要工具。通过在半导体中引入少量的掺杂元素,我们可以改变半导体的导电类型,即形成n型或p型半导体。在n型半导体中,五价元素如磷或砷被添加到硅中,形成额外的自由电子。在p型半导体中,三价元素如硼被添加到硅中,形成额外的空穴。
掺杂不仅改变了半导体的导电性,还为制造复杂的半导体设备如二极管和晶体管提供了可能。通过控制掺杂的类型和浓度,我们可以在半导体中形成复杂的电学结构,从而实现对电流的精确控制。

半导体在集成电路中的应用
在理解了半导体的基本概念、晶体结构和材料后,我们现在来探讨半导体在集成电路中的应用。集成电路,也被称为微芯片,是现代电子设备中的核心部分。它由大量的微型半导体设备,如二极管、晶体管和电容等组成,这些设备都被集成在一个小小的硅片上。
晶体管是集成电路中最重要的组成部分。它是一种三极设备,由源极、漏极和栅极组成。晶体管的工作原理基于半导体的载流子行为。在n型和p型半导体之间形成的p-n结构可以控制电流的流动。当我们通过改变栅极电压来控制载流子的数量,就可以控制从源极到漏极的电流。

集成电路的制造是一门高度复杂的技术,它涉及到许多微细的制程步骤,如氧化、光刻、刻蚀、掺杂和金属化等。在这个过程中,硅晶片被逐层构建,形成三维的电子设备结构。随着制程技术的发展,我们现在可以在一块硅片上集成数十亿个晶体管,制造出极其复杂的电子系统,如微处理器和存储器等。

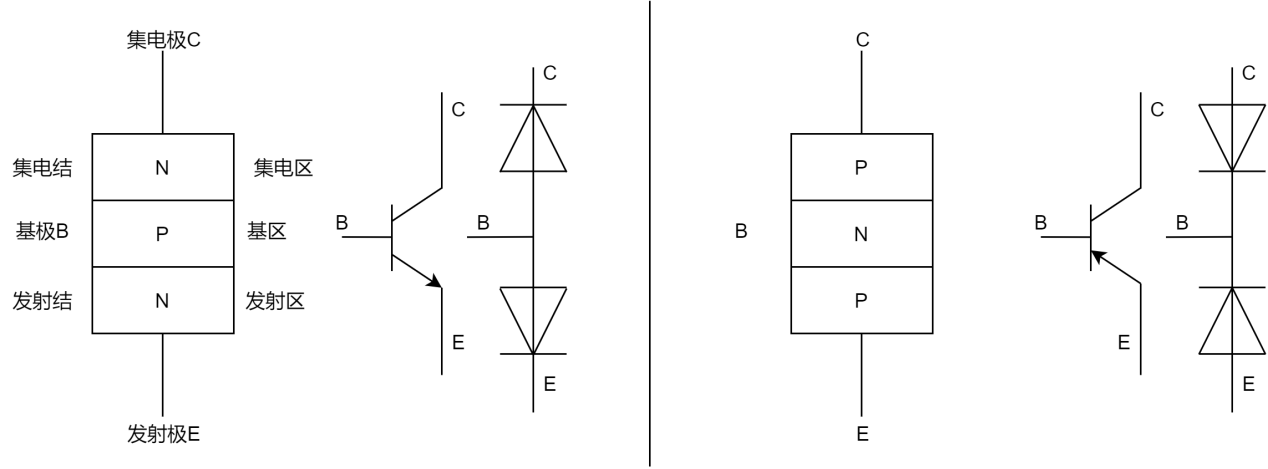
一、什么是三极管?
三极管,全称应为半导体三极管,也被称为双极型晶体管或晶体三极管,是一种控制电流的半导体器件。它的主要功能是将微弱的电信号放大成幅度值较大的电信号,同时也被用作无触点开关
三极管的分类
根据结构和工作原理的不同,三极管可以分为NPN型PNP型两种类型。NPN型三极管的集电极和发射极都是N型半导体,而基极是P型半导体;相反,PNP型三极管的集电极和发射极都是P型半导体,而基极是N型半导体。





*三极管的两个PN结,类似于两个共阴或共阳的二极管。
与晶闸管和MOS管相比,三极管的特点是具有放大功能,而晶闸管和MOS管则没有这种功能。
二、三极管的工作原理
三极管的工作原理基于小电流控制大电流的原则,其工作机制像一个可控制的阀门。根据不同的工作状态和连接方式,三极管主要可以分为三种类型:共基极(CB)、共集电极(CC)和共发射极(CE)。



共基极(CB):基极端子在输入和输出端子之间是公共的。
共集电极(CC):集电极端子在输入和输出端子之间是公共的。
共发射极(CE):发射极端子在输入和输出端子之间是公共的。
三极管的3种状态
三极管有三种状态:截止状态、放大状态饱和状态。我们可以把三极管想象成一个水龙头。
截止状态
首先,当我们没有对水龙头施加任何外力时,水龙头是关闭的,水流无法通过,这时的状态相当于三极管的截止状态。



具体来说,就是加在三极管发射结的电压小于PN结的导通电压,基极电流为零,集电极电流和发射极电流都为零,三极管这时失去了电流放大作用,集电极和发射极之间相当于开关的断开状态。
放大状态
当三极管发射结正偏,集电结反偏时,三极管就会进入放大状态。即当我们逐渐打开水龙头时,水会开始流出,这就相当于三极管进入了放大状态。



这里需要注意的是,这个“放大”并不是无中生有地创造能量,而是通过控制电流的大小来实现信号的放大。



饱和状态
当三极管发射结正偏,集电结正偏时,三极管工作在饱和状态。饱和状态下的三极管基极电流即使变大,集电极电流也不会增大,相当于水龙头完全打开时,水流已经最大。



三、三极管的应用
放大作用
三极管最主要的功能就是放大功能。通过控制输入信号的大小,三极管可以对电流进行放大,从而实现对信号的增强。其基于小电流控制大电流的原则,通过较小的基极电流IB来控制较大的集电极电流IC。当基极电流IB有微小的变化时,会引发集电极电流IC和发射极电流IE的大幅度变化。这种“放大”并非将基极电流IB放大,而是通过控制输入信号的大小,使输出信号得到增强。
三极管的放大功能实现还要求基极和发射极之间加正向电压(发射结正偏),基极与集电极之间加反向电压(集电结反偏)。



示例:简单的放大器来驱动扬声器
这种放大功能被广泛应用于放大器、功率放大器等电路中。例如,在音频放大器中,三极管可以将微弱的声音信号放大为足够大的声音输出。
开关控制
三极管可以通过控制输入信号的高低电平,以实现对电路的开关控制。开关作用基于三极管在电路中导通或截止的特性。这种开关功能被广泛应用于逻辑门电路、计数器、计时器等电路中。



稳压功能
三极管还具有稳压功能,可以用于稳定电压。通过调整三极管的工作状态,可以使电路的输出电压保持稳定。在稳压电源、电池充电器中应用较多。
除了以上应用外,三极管还可以用于振荡器、调制解调器、电视机等电子设备中。总之,三极管作为一种重要的电子元件,在电子电路中的应用非常广泛。

什么是三极管?
三极管全称是“晶体三极管”,也被称作“晶体管”,是一种具有放大功能的半导体器件。通常指本征半导体三极管,即BJT管
典型的三极管由三层半导体材料,有助于连接到外部电路并承载电流的端子组成。施加到晶体管的任何一对端子的电压或电流控制通过另一对端子的电流。

三极管实物图三极管有哪三极?
  • 基极:用于激活晶体管。(名字的来源,最早的点接触晶体管有两个点接触放置在基材上,而这种基材形成了底座连接。)
  • 集电极:三极管的正极。(因为收集电荷载体)
  • 发射极
  • :三极管的负极。(因为发射电荷载流子)
三极管的分类
三极管的应用十分广泛,种类繁多,分类方式也多种多样。
1、根据结构
  • NPN型三极管
PNP型三极管2、根据功率
  • 小功率三极管
  • 中功率三极管
  • 大功率三极管
3、根据工作频率
  • 低频三极管
  • 高频三极管
4、根据封装形式
  • 金属封装型
  • 塑料封装型
5、根据PN结材料
  • 锗三极管
  • 硅三极管
除此之外,还有一些专用或特殊三极管。
三极管的工作原理
这里主要讲一下PNP和NPN。
1、PNP
PNP是一种BJT,其中一种n型材料被引入或放置在两种p型材料之间。在这样的配置中,设备将控制电流的流动。PNP晶体管由2个串联的晶体二极管组成。二极管的右侧和左侧分别称为集电极-基极二极管和发射极-基极二极管。
2、NPN
NPN中有一种 p 型材料存在于两种 n 型材料之间。NPN晶体管基本上用于将弱信号放大为强信号。在 NPN 晶体管中,电子从发射极区移动到集电极区,从而在晶体管中形成电流。这种晶体管在电路中被广泛使用。

PNP和NPN 符号图三极管的3种工作状态
分别是截止状态放大状态饱和状态
一、NPN/PNP
三极管有三个极:基极
(B)、集电极(C)、发射极(E),内部是由两个“PN结”构成,其中基极与发射极之间是“发射结”,基极与集电极之间是“集电结
”,如图,我们可以把三极管理解为两个二极管背对背(NPN)/两个二极管面对面(PNP),了解箭头指向就能轻松区分是NPN还是PNP。

判断三极管的电流流向,就只用记住两点,ie=ib+ic;I入=I出(流入电流之和等于流出电流之和)




三极管的功能应用(参考来源《从入门到精通电子元器件》)1、三极管放大电路
三极管是一种电流放大器件,可制成交流或直流信号放大器,由基极输入一个很小的电流从而控制集电极输出很大的电流,如下图所示:

NPN三极管放大电路

PNP三极管放大电路
三极管基极(b)电流最小,且远小于另两个引脚的电流;发射极(e)电流最大(等于集电极电流和基极电流之和);集电极(c)电流 与基极(b)电流之比即为三极管的放大倍数。
三极管具有放大功能的基本条件是保证基极和发射极之间加正向电压(发射结正偏),基极与集电极之间加反向电压(集电结反偏)。基极相对于发射极为正极性电压,基极相对于集电极为负极性电压。
2、三极管的开关功能
三极管的集电极电流在一定范围内随基极电流呈线性变化,这就是放大特性。当基极电流高过此范围时,三极管集电极电流会达到饱和值 (导通),基极电流低于此范围时,三极管会进入截止状态(断路), 这种导通或截止的特性在电路中还可起到开关作用,如下图所示:

三极管的开关功能
 三极管是在进行电路设计时常用的一种电子元器件。现在市面根据材料的不同一般有两种三极管,一种是锗三极管,一种是硅三极管,区别在于基极压降有所不同,而锗三极管是0.3V,硅三极管是0.7V,目前硅三极管使用较为普遍。下面以PNP型硅三极管为例详细说明三极管的使用。

  三极管有三个极,左边B为基极,上面C为集电极,下面E为发射极,箭头表示的是电流流向。三极管工作时一般处于三个状态:截止、放大以及饱和。
  截止:当UBE < 0.7V,发射极和集电极之间没有电流通过,这时,三极管工作于截止区;
  放大:当UBE >= 0.7V, 发射极和集电极之间有电流通过,并且有ICE = β * IBE,β是三极管的放大倍数,其值和三极管型号有关,大约为几十到几百之间。可以看到如果在集电极接一个电阻,就可以输出一个可调的电压。
用晶体管搭建常见的逻辑门电路  门电路原理图解常见的晶体管有二极管、三极管和MOS管,主要的逻辑门电路:与门、或门、非门、与非门、或非门、异或门等,这篇文章介绍用晶体管搭建常见的逻辑门电路。
废话不多说,直接上图。
1. 二极管
① 二极管与门
用两个二极管组成的与门,A和B都为高电平时,Y才为高电平。

用1个二极管和1个电阻也可以组成与门。

② 二极管或门
从下图两个或门电路可以看出,A和B只要有一个为高电平,输出Y就为高电平。

同样的,用1个电阻和1个二极管也可以组成或门。

2. 三极管
① 三极管非门
A为高电平,T1导通,Y为低电平;A为低电平,T1截止,Y为高电平。

② 三极管与门
用2个NPN三极管搭建与门;A和B都为高电平时,T2和T3都导通,此时Y为高电平。

用1个NPN和1个PNP搭建的与门,当A和B均为高电平时,T4和T6都导通,Y为高电平。

③ 三极管或门
在二极管或门基础上,可以加一个NPN三极管,也可以组成或门,A和B只要有一个高电平,T5就会导通,Y会由低电平变为高电平;当A和B都为低电平时,T5才截止,Y为低电平。

④ 三极管与非门
与非门由与门和非门组成,在三极管与门基础上稍作修改,可以变为三极管与非门。

⑤ 三极管或非门
用2个PNP三极管搭建的或非门,A和B只要有一个高电平,Y就为低电平;当A和B都为低电平时,T9和T10均导通,Y为高电平。

3. MOS管
① MOS管非门
用1个NMOS和1个PMOS搭建的非门;当A为高电平时,T1截止,T2导通,Y为低电平;当A为低电平时,T1导通,T2截止,Y为高电平。

② MOS管与非门
备注:T3和T4为NMOS,T5和T6为PMOS;
A=0,B=0时,T5和T6导通,T3和T4截止,Y=1
A=1,B=0时,T3和T6截止,T4和T5导通,Y=1
A=0,B=1时,T3和T6导通,T4和T5截止,Y=1
A=1,B=1时,T5和T6截止,T3和T4导通,Y=0

③ MOS管或非门
备注:T7和T8为NMOS,T9和T10为PMOS;
A=0,B=0时,T9和T10导通,T7和T8截止,Y=1
A=1,B=0时,T7和T9截止,T8和T10导通,Y=0
A=0,B=1时,T7和T9导通,T8和T10截止,Y=0
A=1,B=1时,T9和T10截止,T7和T8导通,Y=0

4. 真值表
通过真值表能反映一个电路的功能,优秀的记得诚给出了如下门电路的真值表,小伙伴门可以巩固下各个门电路的功能。
① 与门
与门功能:输入都为1,输出才为1,只要有一个0,输出就为0,记作Y=A*B或者Y=AB;

ABY
000
010
100
111

② 或门
或门功能:输入只要有一个1,输出就为1,记作Y=A+B;

ABY
000
011
101
111

③ 非门
非门:非门也叫反相器,即输入1,输出0,输入0,输出1,记作Y=A';
AY
01
10

④ 与非门
与非门:与非门是与门与非门的结合,先与后非,记作Y=(AB)';

ABY
001
011
101
110

⑤ 或非门
或非门:或非门是或门与非门的结合,先或后非,记作Y=(A+B)';

ABY
001
010
100
110

v2-00c8f08f3ef9a97d77ffd8c2c4e6f0ca_1440w.jpg
同一主题附件字上面广告
         同一主题附件:
    7000.jpg
    7000.jpg
    7000.jpg
    7000.jpg
    7000.jpg
    7000.jpg
    7000.jpg
    7000.jpg
    7000.jpg
    v2-3148e0e2188dcac94082401c0659fbe4_1440w.png
    v2-e79335f65b0db0a2233f811a96eb500d_1440w.jpg
    v2-08e849094bf06816512f8c6faadd9eea_1440w.jpg
    v2-26769376bf0e2f284e8458033bcbb8b0_1440w.jpg
    v2-5666d1947771188df4e9968ec01ee8be_1440w.jpg
    v2-dc540dd7c5d70d2cca45c7da257b365e_1440w.jpg
    v2-00c8f08f3ef9a97d77ffd8c2c4e6f0ca_1440w.jpg
    2022111520023473.png
    2022111520024210.png
    2022111520025056.png
    2022111520025981.png
    2022111520030689.png
    2022111520031553.png
    2022111520032207.png
    2022111520033083.png
    2022111520033888.png
    2022111520034542.png
    2022111520035427.png
    2022111520040319.png
    2022111520041397.png