找回密码
 立即注册
搜索

[装机] Intel主板芯片组参数速查表(202410版)

[复制链接]
智慧谋略 发表于 2022-6-23 05:00:07 | 显示全部楼层 |阅读模式
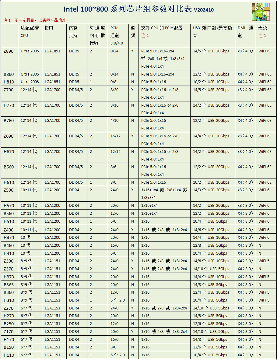
2024年10月28日更新
intel-chipset.jpg



Intel-100-700chipsets-2024.jpg
解读
1、适配的CPU
100系列的标配是酷睿6代,升级BIOS后可以支持到7代,部分主板魔改后可以支持8、9代。
200系列的标配是酷睿7代,部分主板魔改后可以支持8、9代。
300系列的标配是酷睿8代,升级BIOS后可以支持酷睿9代。
400系列的标配是酷睿10代,Z490升级BIOS后可以支持到酷睿11代,H470也有部分工厂提供支持,但B460和H410无缘11代。
500系列的标配是酷睿11代,向下兼容第10代。
600~700系列的标配是酷睿12代~14代
2、接口
CPU主流的封装样式有三种:LGA、PGA和BGA。LGA全称为“land grid array”,中文名称叫“平面网格阵列封装”,从早期的LGA775、然后是LGA1366、LGA1156、LGA1155、LG1150、LGA1151、LGA1200点,到LGA1700,大方向是触点数量越来越多。
3、内存支持
内存控制器集成在CPU内部,主板芯片组并不决定能支持的内存型号和频率。
4、每通道内存插槽数量
由于支持双通道,1则意味着主板可以最多有两根内存插槽,2则可以有四根。当然,如果工厂只做两根你也没办法,一个原因是ITX主板,受限于面积太小。另一个是赤裸裸的缩水,如某品牌的Z370M-DH V20。
5、PCI-E通道
这个通道是指芯片组本身支持的数量,并不包含显卡直连CPU的PCI-E通道数量。例如:H310主板,显卡插槽仍然是PCI-E3.0 X16。
6、CPU超频
7、阵列支持
芯片组不带RAID,可以做用系统做软阵列。
8、傲腾支持
SSD的价格越来越低,傲腾的生存空间越来越小了。
9、CPU的PCI-E配置
即能否将CPU的PCI-E通道进行划分。例如:B560可以是1x16+1x4(即:可以做两根显卡直连CPU的插槽,一根是PCI-E 3.0x16,一根是PCI-E 3.0x4,这个x4也可以做成M.2接口形态。而Z590的主板则可以1x16+1x4,或者为2x8+1x4,或者1x8+3x4这几种组合。
10、USB端口数/最高版本
USB从3.0开始,命名规范如同乱麻,有3.0、3.1、3.2,又分为Gen1、Gen2......名称改来改去,越说会越迷糊,能把名称弄得如此杂乱还真不容易。
USB32.jpg
11、DMI通道
随着SSD性能越来越强,DMI3.0 X4不够用了,从Z570、H570开始升级。
12、集成无线支持
直接带无线网卡的主板通常在名称中有“WIFI”、“AC”等字样,如:华硕TUF GAMING Z490-PLUS(WI-FI),微星MPG Z390 GAMING EDGE AC,这类主板价格偏高。
没有这类字样的主板,即使芯片组支持无线,也仅仅代表“能支持”,不等于“该主板就带无线网卡”。
原因——
intel的集成连接(CNVi)技术将WIFI和蓝牙的关键元素(WIFI的MAC模块、蓝牙的MAC和BB Modem)集成到PCH芯片组中,降低了网卡控制器与主板芯片之间的连接延迟,同时也降低了功耗。
CNVi并不是把“整个无线网卡”都集成到PCH中,用户仍然要单独购买伴射频(CRF)模块,才能使用无线功能。当然,这还需一个前提条件:主板要具备支持CRF模块的接口才行(M.2 E Key 或称M.2 CNVio),H310/B360主板都具备M.2接口,但通常这是给SSD预留的(M.2 M Key),并不能支持CRF模块。简单地说,如果主板没有M.2 E Key接口,即使PCH芯片支持无线也是不行的。
以上列出了芯片组之间的12项主要区别,另外还有一些细节差异,如对核显外接显示器的数量,Zx90、Hx70、Bx50、Bx60都支持外接三台显示器,Hx10只能接两台。

Intel主板芯片组参数速查表(202201版)

Intel主板芯片组参数速查表(202201版)
注:以上主板频率是intel的规范,而实际工厂在制造的时候,可以让主板支持到更高的频率,这称为内存频率的OC支持。
2016年底,intel200系列芯片组发布了,主要有:Z270、H270、B250三款,来看看区别吧:

Intel主板芯片组参数速查表(202201版)

Intel主板芯片组参数速查表(202201版)

Intel主板芯片组参数速查表(202201版)

Intel主板芯片组参数速查表(202201版)

2015年底陆续发布了100系列芯片组,主要有:Z170、H170、B150、H110、这四款,这些型号之间有什么具体不同呢?让我们一起来学习吧。

  Intel H110/B150/H170/Z170 芯片组主要参数对比表
产品型号Intel H110Intel B150Intel H170Intel Z170
CPU插槽Socket1151
Socket1151
Socket1151
Socket1151
PCI-E 3.0通道681620
显卡插槽PCI E-3.0
PCI E-3.0
PCI E-3.0
PCI E-3.0
内存插槽2
4
4
4
USB2.0/3.06/4
6/66/84/10
RST PCI-E接口0
02
3
SATA 3.0接口4
6
6
6
SATA  Express接口0
1
2
3
超频不支持不支持不支持支持
极速空间工程师点评:
以上四款芯片组还有很多细分区别,一般客户无需深究,只要知道以下知识就可以了:
1、如果用相同的处理器,装在以上四款不同芯片组的主板上,电脑的性能是一样的,没有区别,因此H110小板为经济实用的选择。
2、RST For PCI-E是允许RST(Rapid Storage Technology)软件管理PCI-E接口的设备(比如更高速的固态硬盘),以实现SRT智能响应技术。非发烧级客户可以忽略这个功能。
3、SATA Express接口主要应对更高速度的固态硬盘。SATA3理论传输速度为600MBps,面对高速发展的固态硬盘读写速度显得弱了,而PIC-E3.0 X16可达到32GB/s,就算目前SSD的读写再提升5倍也足以应对。但可以预料的是,SATA Express接口的固态硬盘价格不会便宜,可能未来一段时间这个接口都没有性价比。
-------------------------------------------------------------------------------------------------------------------------------------------------------------------
2015年intel的主板芯片组主要有H81、B85、H87、Z87这四款,这些型号之间有什么具体不同呢?让我们一起来学习吧。
  Intel H81/B85/H87(H97)/Z87(Z97) 芯片组主要参数对比表
产品型号Intel H81Intel B85Intel H87(H97)Intel Z87(Z97)
CPU类型Intel i7、 i5、 i3、奔腾双核、赛扬
Intel i7、 i5、 i3、奔腾双核、赛扬
Intel i7、 i5、 i3、奔腾双核、赛扬
Intel i7、 i5、 i3、奔腾双核、赛扬
CPU插槽Socket1150
Socket1150
Socket1150
Socket1150
内存类型支持DDR3
支持DDR3
支持DDR3
支持DDR3
显示输出
接口
支持
支持
支持
支持
显卡插槽PCI E-2.0
PCI E-3.0
PCI E-3.0
PCI E-3.0
多显卡技术不支持
不支持
支持
支持
USB2.0/3.0都支持
都支持
都支持
都支持
SATA2.0/3.0都支持
都支持
都支持
都支持
PCI-E2.0/3.0只支持2.0
都支持
都支持
都支持
超频不支持不支持不支持支持
极速空间工程师点评:
以上四款芯片组还有很多细分区别,一般客户无需深究,只要知道以下知识就可以了:
1、由于USB只影响外部传输速度,PCI-E2.0对现在3000元内显卡都足够用,因此H81不失为“经济实用”的性价比选择。
2、如果用相同的处理器,装在以上四款不同芯片组的主板上,电脑的性能是一样的,没什么区别。
3、H97适合预算较高但不超频的客户选择。
4、Z97适合预算高而且准备超频的客户。
5、Z97比Z87多了BootGuard启动保护和M.2 SSD支持。BootGuard就是一个磁盘启动区保护功能,可以保护硬盘等启动设备免受病毒攻击,但据称需要搭配Haswell Refresh才行,没啥意思。而M.2其实就是超极本NGFF SSD接口的新名称,这种SSD采用PCI-E接口而不是SATA接口,起步达10Gbps,比SATA3.0的6Gbps更高,因此理论上可以实现更快的SSD读写速度。不过,很多主板工厂都没有在中低端的Z97主板上做这个接口,因为成本会提升不少。
您可能不知道:i5-4590搭配300多元的B85主板和搭配1000多元的Z97豪华版,性能没有任何差距,就算用200多元的H81主板,也不会有什么性能的降低。他们的差距主要是扩展性和超频性。
-------------------------------------------------------------------------------------------------------------------------------------------------------------------
  2014以前年度intel主板芯片组参数对比
  Intel H61/B75/Z77/Z68 芯片组主要参数对比表
产品型号Intel H61Intel B75Intel H77Intel Z77
CPU类型Intel i7、 i5、 i3、奔腾双核、赛扬
Intel i7、 i5、 i3、奔腾双核、赛扬
Intel i7、 i5、 i3、奔腾双核、赛扬
Intel i7、 i5、 i3、奔腾双核、赛扬
CPU插槽Socket1155
Socket1155
Socket1155
Socket1155
内存类型支持DDR3
支持DDR3
支持DDR3
支持DDR3
显示输出
接口
支持
支持
支持
支持
显卡插槽PCI E-2.0
PCI E-3.0
PCI E-3.0
PCI E-3.0
多显卡技术 不支持
不支持
支持
支持
USB2.0/3.0只支持2.0
都支持
都支持
都支持
SATA2.0/3.0只支持2.0
都支持
都支持
都支持
PCI-E2.0/3.0只支持2.0
都支持
都支持
都支持
超频不支持不支持不支持支持
备注:SATA3.0要固态硬盘才能发挥威力,对普通机械盘用处不大,因此如果用普通硬盘,可以忽略SATA2.0和3.0的区别。

2012-2013 Intel主板主流型号参数速查表

Z77

H77
P75
B75
P61
H61
主板芯片组
intel Z77芯片组
intel H77芯片组
intel B75芯片组
intel B75芯片组
intel H61芯片组
intel H61芯片组
处理器插槽
LGA 1155
LGA 1155
LGA 1155
LGA 1155
LGA 1155
LGA 1155
处理器支持
22nm/32nm i3/ i5/ i7
22nm/32nm i3/ i5 /i7
22nm/32nm i3 /i5 /i7
22nm/32nm i3/ i5 /i7
22/32nm i3 /i5 /i7
22/32nm i3 /i5 /i7
处理器超频
支持
不支持
不支持
不支持
不支持
不支持
PCI-E配置
单路X16
双路X8/X8
三路X8/X4/X4
单路X16
单路X16
单路X16
单路X16
单路X16
处理器图形核心支持
支持
支持
不支持
支持
不支持
支持
板型、大小
标准ATX大板
uATX版型
标准ATX大板
Micro ATX版型
标准ATX大板
Micro ATX版型
内存插槽
4 X DDR3 DIMM 最大支持32GB
4 X DDR3 DIMM 最大支持32GB
4 X DDR3 DIMM 最大支持32GB
2 X DDR3 DIMM 最大支持16GB
2 X DDR3 DIMM 最大支持16GB
2 X DDR3 DIMM 最大支持16GB
内存支持
双通道/DDR3-1600
双通道/DDR3-1600
双通道/DDR3-1600
双通道/DDR3-1600
双通道/DDR3-1333
双通道/DDR3-1333
SRT固态硬盘加速技术
支持
支持
不支持
不支持
不支持
不支持
RAID技术
支持
支持
不支持
支持
不支持
不支持
USB 2.0接口(3.0)
10个USB2.0
4个USB3.0
10个USB2.0
4个USB3.0
8个USB2.0
4个USB3.0
8个USB2.0
4个USB3.0
8个USB2.0
2个USB3.0

8个USB2.0
原生不支持USB3.0
SATA接口(6gbps)
6个SATA2
2个SATA3
6个SATA2
2个SATA3
5个SATA2
1个SATA3
5个SATA2
1个SATA3
4个SATA2
4个SATA2
不支持SATA3.0
PCI-E
3.0
3.0
3.0
3.0
2.0
2.0


Intel主板芯片组参数速查表(202201版)

Intel主板芯片组参数速查表(202201版)
 楼主| 智慧谋略 发表于 2023-10-15 13:34:28 | 显示全部楼层
intel 300系列产品主板有哪些?
根据目前网曝来说,intel 300系列主板处理芯片型号诸多,对比200系列产品主板型号多一些,intel300系列产品主板从入门到高档型号先后如下所示:
H305、H310、B360、Q360、H370、Z370、Q370、Z390
在其中,H310、B360、Z390为日后300系列产品流行主板。最开始上市的Z370主板要被Z390替代。 而Z370将要股票退市,我想这是intel产品中生命周期最短的产品,所以被Z390主板取代它的。
值得一提的是,H305归属于H310的背心版,规格型号上很有可能可能进一步阄割,而Q系列产品或者是为面对OEM厂家的产品。而较为有趣的是,Intel 300系列产品主板中,取代B250的应当名字叫B350,但被AMD先用上,为了能不和AMD同名,更改成B360主板。
二、H310/B360/H370/Z370/Z390主板比照
168c9cd42ad7211ee85ab8cbb6a844ca.jpg

 楼主| 智慧谋略 发表于 2024-5-22 15:50:53 | 显示全部楼层
12代酷睿处理器
新发布12代酷睿处理器带来了全新的LGA1700插槽,也就是说12代的cpu是无法安装在更早版本的主板上面的,插口就不一样,如果您打算入手12代CPU,一样要购买对应的主板,这里总结下,12代CPU和主板对应关系如下
LGA1700插槽
目前支持12代CPU的主板有:H610、B660、Z690
H610定位入门<B660定位中端主流<Z690定位高端
H610、B660、Z690主板之间的区别:

主板芯片规格对比
重点关注的点
  • 只有Z690支持CPU超频,如果你购买的是带K的处理器(可超频)如:12600KF、12700K等,那么Z690是你的最佳选择,这样才可以发挥CPU的超频性能
  • 购买了12600K的用户搭配个高端的B660主板,其实也可以,高端的B660供电是够的,虽然不能CPU超频,但是12代带K的处理器支持更高频的内存,这点还是很香的,并且B660主板相对Z690主板的价格有优势。
  • H610彻底不支持PCIE 4.0,因此如果购买了PCIE 4.0的固态硬盘就不要购买H610主板了,不然你的PCIE 4.0的固态只能当PCIE 3.0来用
  • B660相对Z690减半了PCIE 4.0的通道数量
另外如果你购买的内存是超过3200MHz,必须满足以下两点才能发挥内存性能:
  • 必须使用K/KF结尾的处理器,因为12代非K的CPU锁了内存控制器的SA电压;
  • 并且需要搭配B/Z系列主板。

主板和CPU搭配规则
一般入门级别的CPU搭配入门级别主板即可
如i3搭配H610,i5搭配B660主板,i7搭配高端B660主板或者Z690主板,i9搭配Z690主板,这里一种建议的搭配,为了充分发挥CPU和主板的性能,如果你i3的CPU一定要搭配Z690的主板也可以用
12代CPU搭配的几款优秀主板推荐
主流选择,重炮手和迫击炮,适合绝大部分用户
历代英特尔CPU和主板对照表

 楼主| 智慧谋略 发表于 2025-1-1 17:22:41 | 显示全部楼层
英特尔历代CPU发布时间,2006~2024历代酷睿架构盘点酷睿系列最早于2006年开始发售,旨在取代当时面向中高端市场的奔腾系列处理器,“挤牙膏”的时代由此开始。以下是历代酷睿发布时间和插槽标准

早前产品

  • 2006年1月:酷睿 Solo、酷睿 Duo (P6 微架构的增强版本, Core 微架构的前身),插槽 BGA479、FC-PGA478,65nm工艺;
  • 2006年7月~2007年9月:酷睿 2 移动及桌面(core 微架构),包含Core 2 Solo(单核)、Core 2 Duo(双核)、Core 2 Quad(四核)、Core 2 Extreme(可超频);早期 65nm,后期升级到45nm(插槽比较多,这里不再罗列)。

Core i 系列
  • 2008年~2010年:第一代酷睿i系列,包括i3(2010)、i5(2009)、i7(2008),LGA1156;
  • 2011年:第二代, LGA1155;
  • 2012年:第三代,LGA1155;
  • 2013年:第四代,LGA1150;
  • 2015年:第五代,无桌面端;
  • 2015年:第六代,LGA1151;
  • 2017年:第七代,LGA1151;
  • 2017年:第八代,首次推出的i9,LGA1151;
  • 2019年:第九代,包括i3、i5、i7、 i9,LGA1151;
  • 2020年:第十代,LGA1200;
  • 2021年:第十一代,没有推出桌面版的i3,LGA1200;
  • 2021年:第十二代,LGA1700;
  • 2022年:第十三代,LGA1700;
  • 2023年:第十四代,LGA1700;
  • 2023年12月: Core Ultra Meteor Lake-U/H 移动系列,即酷睿 Ultra 5/7/9 1xxH(如酷睿 Ultra 9 185H)以及酷睿 Ultra 5/7 1xxU(如酷睿 Ultra 7 165U);
  • 2024年1月: Core Raptor Lake-U Refresh 移动系列,即酷睿 3/5/7 1xxU,如酷睿 7 150U;
  • 2024年9月: Lunar Lake ,即酷睿 Ultra 200V系列,如酷睿 Ultra 7 268V;
  • 2024年10月:Arrow Lake-S,即酷睿 Ultra 200S系列,如酷睿 Ultra 9 285K。


以上英特尔历代CPU发布时间统计截止2024年12月,以下是关于历代酷睿架构的分享。

历代酷睿架构注意:这里不再说明早期产品,仅对酷睿 i 系列进行特征说明。

  • 1代酷睿Nehalem微架构,过渡性的升级,制程工艺从45纳米缩小到32纳米;将集显转移到处理器内部,同时增加了AES指令集。
  • 2代酷睿Sandy Bridge架构,基于 Westmere微架构的革命性升级,采用了环形总线结构和第二代动态加速技术;增加了AVX指令集,提高了浮点运算的速度(22纳米时代开启)。
  • 3代酷睿Sandy Bridge架构,(Ivy Bridge 挤牙膏),过渡性升级,32纳米到22纳米;HD Graphics升级到HD Graphics 2500/4000;增加了PCI Express 3.0接口。
  • 4代酷睿Haswell架构,重新设计了CPU核心结构和集成显卡结构;采用了全新的芯片组平台;第四代动态加速技术;增加了FMA3、BMI1/2、TSX等指令集。
  • 5代酷睿Haswell架构,( Broadwell 挤牙膏 ),过渡性的升级,22纳米缩小到14纳米;将集成显卡IGP升级到HD Graphics 5300/5500/6000或Iris Graphics 6100/6200;增加了L4缓存。
  • 6代酷睿Skylake架构该架构一致沿用到第十代酷睿),再次重新设计了CPU核心结构和集成显卡结构;采用了第五代动态加速技术;增加了AVX-512、SHA等指令集。
  • 7代酷睿:代号Kaby Lake,优化了制程工艺,提高了效率和稳定性;集显升级到UHD Graphics,支持4K分辨率和HDR显等;增加了对HEVC、VP9等视频编码格式的硬件解码支持。
  • 8代酷睿:代号Coffee Lake,增加了核心数量,从最多四核八线程扩展到最多八核十六线程;增加了缓存容量和PCI Express通道数量。
  • 9代酷睿:代号Coffee Lake Refresh,进一步增加了核心数量,扩展到最多十八核三十六线程;增加了缓存容量,提高了缓存命中率;优化了制程工艺,提高了效率和稳定性。
  • 10代酷睿:代号Comet Lake,进一步增加了核心数量,扩展到二十四核四十八线程;优化了制程工艺;增加了对Wi-Fi 6和Thunderbolt 3等新型设备的支持。
  • 11代酷睿Cypress Cove架构,代号Rocket Lake,重新设计了CPU核心结构;并重新设计了集成显卡(IGP)结构,采用了Xe-LP图形核心;增加了DL Boost技术,提高了深度学习和人工智能的处理速度。
  • 12代酷睿Alder Lake架构,Goldden Cove+Gracemont混合架构(大小核),代号,采用了混合架构,将高性能核心和高效能核心集成在同一个芯片上;制程工艺也从14纳米升级到10纳米;集显升级到Xe-HPG;支持DDR5内存、PCI Express 5.0接口等新型设备。
  • 13代酷睿:整体沿用12代架构,代号Raptor Lake,工艺升级到7nm(Intel 7),13代相比12代无疑是挤牙膏的一代,在核心数和线程数以及缓存容量上有所增加,对D5支持更好。
  • 14代酷睿:继续沿用之前的大小核设计,代号Raptor Lake Refresh,算是基于13代的“小改款”,俗称的挤牙膏之作,最后一代传统酷睿
  • 1代Core Ultra:采用全新命名方式的第一代Core Ultra,仍旧采用P+E的大小核设计,intel 4 工艺。代号Meteor Lake-U,Meteor Lake-H,首代仅有移动U
  • 2代Core Ultra :酷睿 Ultra 200V(Lunar Lake)前代Meteor Lake-U的继任者,多搭载于轻薄本,采用台积电N3B工艺,首次搭载Xe2核显,能效表现优秀;酷睿 Ultra 200S(Arrow Lake-S),即大家所说的所说的 15 代桌面酷睿处理器,同样采用N3B工艺,能效提升明显,但性能倒吸牙膏。




懒得打字嘛,点击右侧快捷回复 【右侧内容,后台自定义】
高级模式
B Color Image Link Quote Code Smilies

本版积分规则